Упражнение 3.68 ГДЗ Дорофеев Суворова 7 класс (Алгебра)
Верно или неверно В каком случае правильно приведены подобные слагаемые в выражении 5а + 2x + 9а - 2x - 7?

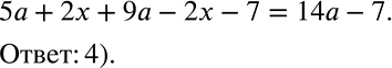
Ниже вариант решения задания из учебника Дорофеев, Суворова, Бунимович 7 класс, Просвещение:
Верно или неверно В каком случае правильно приведены подобные слагаемые в выражении 5а + 2x + 9а - 2x - 7?
1) 14а + 4x - 7
2) 14аx - 7
3) 7а
4) 14а - 7
