Упражнение 3.59 ГДЗ Дорофеев Суворова 7 класс (Алгебра)
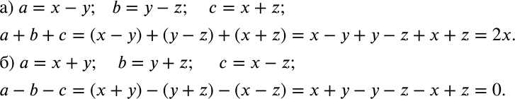
а) В выражении а + b + с выполните подстановку а = х - у, b = у - z, с = х + z и упростите полученное выражение.

Ниже вариант решения задания из учебника Дорофеев, Суворова, Бунимович 7 класс, Просвещение:
а) В выражении а + b + с выполните подстановку а = х - у, b = у - z, с = х + z и упростите полученное выражение.
б) В выражении а - b - с выполните подстановку а = х + у, b = у + z, с = х - z и упростите полученное выражение.
