Упражнение 3.58 ГДЗ Дорофеев Суворова 7 класс (Алгебра)
Упростите выражение: а) (ab - 1) - (аb + 1) - (а - b); б) (m - mn) - (n - mn) + (m + n).

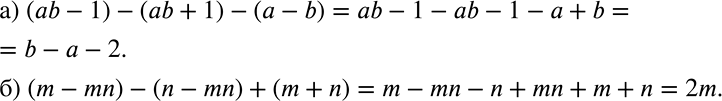
Ниже вариант решения задания из учебника Дорофеев, Суворова, Бунимович 7 класс, Просвещение:
Упростите выражение:
а) (ab - 1) - (аb + 1) - (а - b);
б) (m - mn) - (n - mn) + (m + n).
