Упражнение 3.60 ГДЗ Дорофеев Суворова 7 класс (Алгебра)
Раскройте скобки: а) a - (b - (с + 4)); б) х - (3 - (x + 6)); в) a - (a - (a - 10));

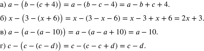
Ниже вариант решения задания из учебника Дорофеев, Суворова, Бунимович 7 класс, Просвещение:
Раскройте скобки:
а) a - (b - (с + 4));
б) х - (3 - (x + 6));
в) a - (a - (a - 10));
г) с - (с - (с - d)).
