Упражнение 6.1 ГДЗ Дорофеев Суворова 7 класс (Алгебра)
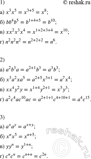
1) Запишите в виде степени: а) х^3 x^5; б) bb^4 b^5; в) хх^2 х^3 х^4; г) n^2 n^2 n^2. 2) Упростите:

Ниже вариант решения задания из учебника Дорофеев, Суворова, Бунимович 7 класс, Просвещение:
1) Запишите в виде степени:
а) х^3 x^5; б) bb^4 b^5; в) хх^2 х^3 х^4; г) n^2 n^2 n^2.
2) Упростите:
а) a^2 b^3 а; б) х^3 a^2 х а^5; в) хх^4 у^2 у; г) а^2 с^4 ас^10 ас.
3) Выполните умножение:
а) a^x a^9; б) x^n x^5; в) yy^n; г) c^n c^n.
