Упражнение 6.5 ГДЗ Дорофеев Суворова 7 класс (Алгебра)
Выполните деление: а) а7: а2; б) b10 : b5; в) с30 : с10; г) х12: х4; д) m50 : m2; е) у100 :

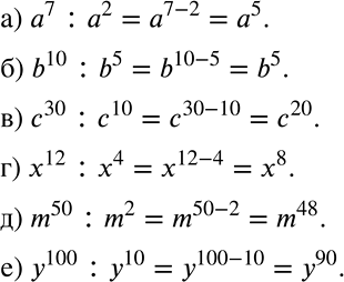
Ниже вариант решения задания из учебника Дорофеев, Суворова, Бунимович 7 класс, Просвещение:
Выполните деление:
а) а7: а2;
б) b10 : b5;
в) с30 : с10;
г) х12: х4;
д) m50 : m2;
е) у100 : у10.
