Упражнение 6.2 ГДЗ Дорофеев Суворова 7 класс (Алгебра)
Представьте в виде степени: а) 2^2 * 2^10; б) З^5 * З^2 * 3; в) 5 * 5n * 5^2; г) 2n * 2n * 2;

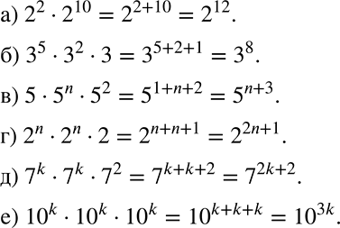
Ниже вариант решения задания из учебника Дорофеев, Суворова, Бунимович 7 класс, Просвещение:
Представьте в виде степени:
а) 2^2 * 2^10;
б) З^5 * З^2 * 3;
в) 5 * 5n * 5^2;
г) 2n * 2n * 2;
д) 7k * 7k * 7^2;
е) 10k * 10k * 10k.
