Упражнение 6.4 ГДЗ Дорофеев Суворова 7 класс (Алгебра)
Действуем по правилу (529—530) 529 Частное степеней замените степенью с тем же основанием: а) m9/m2; б) n10/n9; в) c5/c; г) p10/p2;

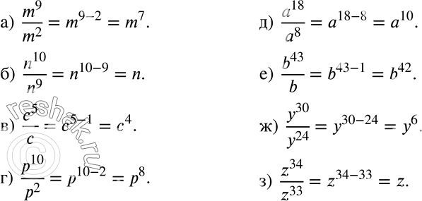
Ниже вариант решения задания из учебника Дорофеев, Суворова, Бунимович 7 класс, Просвещение:
Действуем по правилу (529—530)
529 Частное степеней замените степенью с тем же основанием:
а) m9/m2;
б) n10/n9;
в) c5/c;
г) p10/p2;
д) a18/a8;
е) b43/b;
ж) y30/y24;
з) z34/z33.
