Упражнение 6.6 ГДЗ Дорофеев Суворова 7 класс (Алгебра)
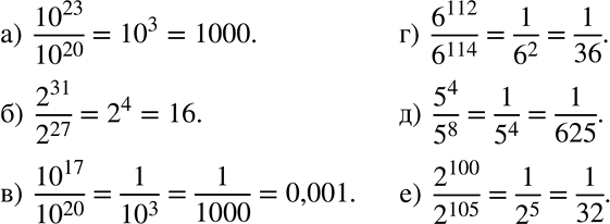
Применяем алгебру (532 — 533) 532 Чему равно значение выражения? а) 10^23/10^20; б) 2^31/2^27; в) 10^17/10^20; г) 6^112/6^114; д) 5^4/5^8; е) 2^100/2^105.

Ниже вариант решения задания из учебника Дорофеев, Суворова, Бунимович 7 класс, Просвещение:
Применяем алгебру (532 — 533)
532 Чему равно значение выражения?
а) 10^23/10^20;
б) 2^31/2^27;
в) 10^17/10^20;
г) 6^112/6^114;
д) 5^4/5^8;
е) 2^100/2^105.
