Упражнение 6.11 ГДЗ Дорофеев Суворова 7 класс (Алгебра)
Применяем алгебру Найдите значение выражения: а) (1,3 * 10^3) * (5 * 10^2); б) (2,4 * 10^3) * (3 * 10^3);

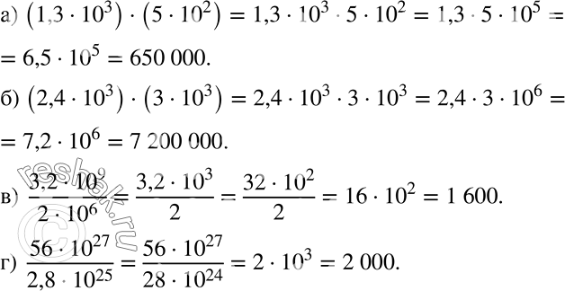
Ниже вариант решения задания из учебника Дорофеев, Суворова, Бунимович 7 класс, Просвещение:
Применяем алгебру Найдите значение выражения:
а) (1,3 * 10^3) * (5 * 10^2);
б) (2,4 * 10^3) * (3 * 10^3);
в) (3,2 * 10^9)/(2 * 10^6);
г) (56 * 10^27)/*2,8 * 10^25).
