Упражнение 6.8 ГДЗ Дорофеев Суворова 7 класс (Алгебра)
Упростите выражение: а) (x5 * x8)/x3; б) (a90 * a10)/a50; в) m20/(m8 * m8); г) y30/(y15 * y10); д) (b3 * b * b7)/(b5 * b4);

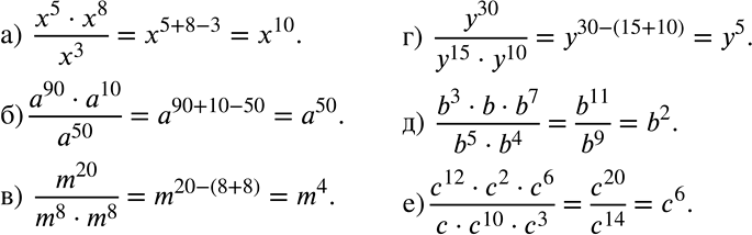
Ниже вариант решения задания из учебника Дорофеев, Суворова, Бунимович 7 класс, Просвещение:
Упростите выражение:
а) (x5 * x8)/x3;
б) (a90 * a10)/a50;
в) m20/(m8 * m8);
г) y30/(y15 * y10);
д) (b3 * b * b7)/(b5 * b4);
е) (c12 * c2 * c6)/(c * c10 * c3).
