Упражнение 6.16 ГДЗ Дорофеев Суворова 7 класс (Алгебра)
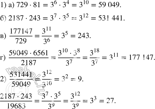
Анализируем Дана таблица степеней числа 3: 3^1 = 3 3^2 = 9 3^3 = 27 3^4 = 81 3^5 = 243 3^6 = 729 3^7 = 2187 3^8 = 6561 3^9 = 19 683 3^10 = 59 049 3^11 = 177 147 3^12 = 531 441 1) Пользуясь этой таблицей, вычислите:

Ниже вариант решения задания из учебника Дорофеев, Суворова, Бунимович 7 класс, Просвещение:
Анализируем Дана таблица степеней числа 3:
3^1 = 3
3^2 = 9
3^3 = 27
3^4 = 81
3^5 = 243
3^6 = 729
3^7 = 2187
3^8 = 6561
3^9 = 19 683
3^10 = 59 049
3^11 = 177 147
3^12 = 531 441
1) Пользуясь этой таблицей, вычислите:
а) 729 * 81;
б) 2187 * 243;
в) 17747/729;
г) (59049 * 6561)/2187.
2) Составьте несколько выражений, значения которых можно найти, пользуясь таблицей степеней числа 3.
