Упражнение 6.9 ГДЗ Дорофеев Суворова 7 класс (Алгебра)
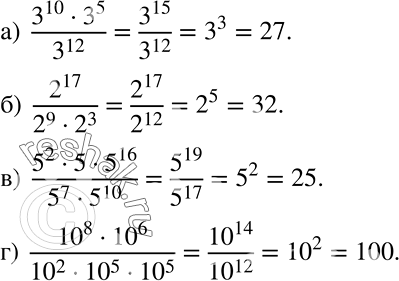
Применяем алгебру Вычислите: а) (3^10 * 3 ^5)/3^12; б) 2^17/(2^9 * 2^3); в) (5^2 * 5 * 5^16)/(5^7 * 5^10); г) (10^8 * 10^6)/(10^2 * 10^5 * 10^5).

Ниже вариант решения задания из учебника Дорофеев, Суворова, Бунимович 7 класс, Просвещение:
Применяем алгебру Вычислите:
а) (3^10 * 3 ^5)/3^12;
б) 2^17/(2^9 * 2^3);
в) (5^2 * 5 * 5^16)/(5^7 * 5^10);
г) (10^8 * 10^6)/(10^2 * 10^5 * 10^5).
