Упражнение 6.126 ГДЗ Дорофеев Суворова 7 класс (Алгебра)
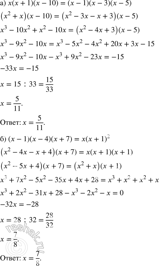
Решите уравнение: а) x(x + 1)(x - 10) = (x - 1)(x - 3)(x - 5); б) (х - 1)(х - 4)(x + 7) = x(x + 1)2.

Ниже вариант решения задания из учебника Дорофеев, Суворова, Бунимович 7 класс, Просвещение:
Решите уравнение:
а) x(x + 1)(x - 10) = (x - 1)(x - 3)(x - 5);
б) (х - 1)(х - 4)(x + 7) = x(x + 1)2.
