Упражнение 6.122 ГДЗ Дорофеев Суворова 7 класс (Алгебра)
Решите уравнение: а) (х - 2)(х - 3) = х(х + 1); б) (х + 4)(х + 6) - х2 = 30;

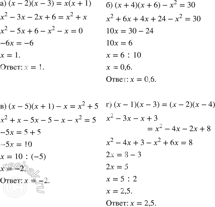
Ниже вариант решения задания из учебника Дорофеев, Суворова, Бунимович 7 класс, Просвещение:
Решите уравнение:
а) (х - 2)(х - 3) = х(х + 1);
б) (х + 4)(х + 6) - х2 = 30;
в) (х - 5)(x + 1) - х = х2 + 5;
г) (х - 1)(x - 3) = (x - 2)(х - 4).
