Упражнение 6.125 ГДЗ Дорофеев Суворова 7 класс (Алгебра)
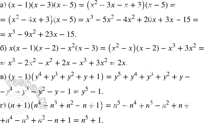
Представьте в виде многочлена: а) (x - 1)(x - 3)(x - 5); б) х(х - 1)(х - 2) - х2(х - 3);

Ниже вариант решения задания из учебника Дорофеев, Суворова, Бунимович 7 класс, Просвещение:
Представьте в виде многочлена:
а) (x - 1)(x - 3)(x - 5);
б) х(х - 1)(х - 2) - х2(х - 3);
в) (у - 1)(у4 + у3 + у2 + у + 1);
г) (n + 1)(n4 - n3 + n2 - n + 1).
