Упражнение 6.129 ГДЗ Дорофеев Суворова 7 класс (Алгебра)
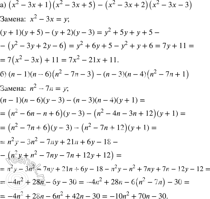
Упростите выражение: а) (х2 - 3х + 1)(х2 - 3х + 5) - (х2 - 3х + 2)(х2 - 3х - 3);

Ниже вариант решения задания из учебника Дорофеев, Суворова, Бунимович 7 класс, Просвещение:
Упростите выражение:
а) (х2 - 3х + 1)(х2 - 3х + 5) - (х2 - 3х + 2)(х2 - 3х - 3);
б) (n - 1)(n - 6)(n2 - 7n - 3) - (n - 3)(n - 4)(n2 - 7n + 1). Подсказка. Сделайте замену; например, в пункте а: х2 - 3х = у.
