Упражнение 6.134 ГДЗ Дорофеев Суворова 7 класс (Алгебра)
Работаем с символами Запишите следующие выражения: а) квадрат суммы х и у; б) сумму квадратов m и n; в) квадрат разности m и 3;

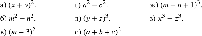
Ниже вариант решения задания из учебника Дорофеев, Суворова, Бунимович 7 класс, Просвещение:
Работаем с символами Запишите следующие выражения:
а) квадрат суммы х и у;
б) сумму квадратов m и n;
в) квадрат разности m и 3;
г) разность квадратов а и с;
д) куб суммы у и z;
е) квадрат суммы а, b и с;
ж) куб суммы m, n и 1;
з) разность кубов х и z.
