Упражнение 6.133 ГДЗ Дорофеев Суворова 7 класс (Алгебра)
Представьте каждое произведение в виде многочлена: (x - 1)(x - 2)(x - 3)(x - 4); (1 - x)(x - 2)(x - 3)(4 - x);

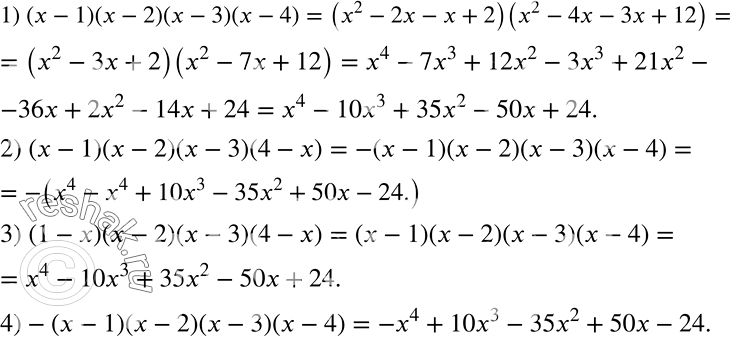
Ниже вариант решения задания из учебника Дорофеев, Суворова, Бунимович 7 класс, Просвещение:
Представьте каждое произведение в виде многочлена:
(x - 1)(x - 2)(x - 3)(x - 4);
(1 - x)(x - 2)(x - 3)(4 - x);
(x - 1)(x - 2)(x - 3)(4 - x);
-(x - 1)(x - 2)(x - 3)(x - 4).
