Упражнение 6.136 ГДЗ Дорофеев Суворова 7 класс (Алгебра)
Представьте квадрат двучлена в виде трёхчлена: а) (2х - 1)2; б) (5у + 1)2; в) (4z - 3)2; г) (3а + 2)2;

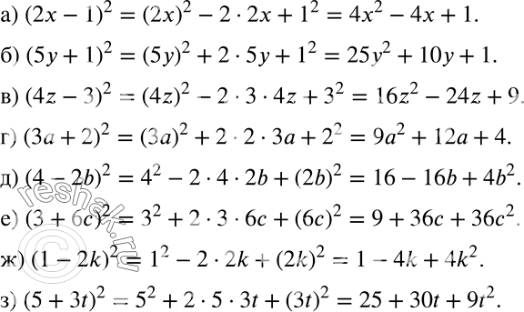
Ниже вариант решения задания из учебника Дорофеев, Суворова, Бунимович 7 класс, Просвещение:
Представьте квадрат двучлена в виде трёхчлена:
а) (2х - 1)2;
б) (5у + 1)2;
в) (4z - 3)2;
г) (3а + 2)2;
д) (4 - 2b)2;
е) (3 + 6с)2;
ж) (1 - 2k)2;
з) (5 + 3t)2.
