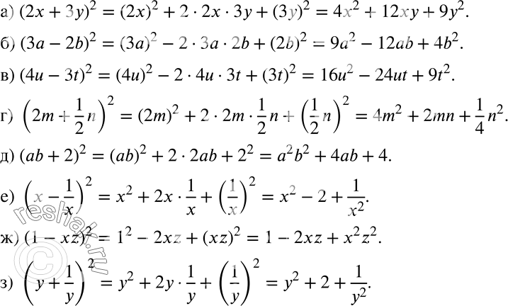
Упражнение 6.137 ГДЗ Дорофеев Суворова 7 класс (Алгебра)
Выполните возведение в квадрат: а) (2х + 3у)2; б) (3а - 2b); в) (4u - 3t)2; г) (2m + 1/2*n)2; д) (ab +2)2;

Ниже вариант решения задания из учебника Дорофеев, Суворова, Бунимович 7 класс, Просвещение:
Выполните возведение в квадрат:
а) (2х + 3у)2;
б) (3а - 2b);
в) (4u - 3t)2;
г) (2m + 1/2*n)2;
д) (ab +2)2;
е) (x-1/x)2;
ж) (1-xz)2;
з) (y+1/y)2.
