Упражнение 6.146 ГДЗ Дорофеев Суворова 7 класс (Алгебра)
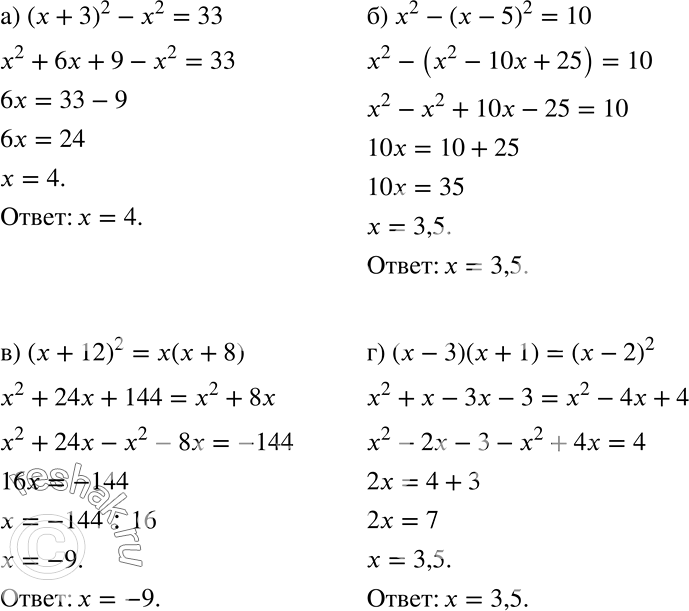
Решите уравнение: а) (х + З)2 - х2 = 33; б) х2 - (х - 5)2 = 10; в) (х + 12)2 = х(х + 8);

Ниже вариант решения задания из учебника Дорофеев, Суворова, Бунимович 7 класс, Просвещение:
Решите уравнение:
а) (х + З)2 - х2 = 33;
б) х2 - (х - 5)2 = 10;
в) (х + 12)2 = х(х + 8);
г) (х - 3)(х + 1) = (х - 2)2.
