Упражнение 6.142 ГДЗ Дорофеев Суворова 7 класс (Алгебра)
Рассуждаем (733-734) 733 Заполните пропуски: а) (2x + ...)2 = ... + ... + у2; б) (3у - ...)2 = ...

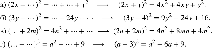
Ниже вариант решения задания из учебника Дорофеев, Суворова, Бунимович 7 класс, Просвещение:
Рассуждаем (733-734)
733 Заполните пропуски:
а) (2x + ...)2 = ... + ... + у2;
б) (3у - ...)2 = ... - 24y + ...;
в) (... + 2m)2 = 4n2 + ... + ...;
г) (... - ...)2 = а2 - ... + 9.
