Упражнение 6.147 ГДЗ Дорофеев Суворова 7 класс (Алгебра)
Доказываем Докажите, что: а) (а + b)2 - 2ab = а2 + b2; б) а2 + b2 = (а - b)2 + 2ab;

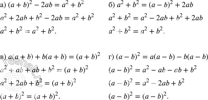
Ниже вариант решения задания из учебника Дорофеев, Суворова, Бунимович 7 класс, Просвещение:
Доказываем Докажите, что:
а) (а + b)2 - 2ab = а2 + b2;
б) а2 + b2 = (а - b)2 + 2ab;
в) а(а + b) + b(a + b) = (а + b)2;
г) (а - b)2 = а(а - b) - b(а - b).
