Упражнение 6.143 ГДЗ Дорофеев Суворова 7 класс (Алгебра)
Подберите такое k, чтобы трёхчлен был равен квадрату двучлена: а) а2 - 2а + k; б) х2 + 6х + k;

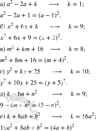
Ниже вариант решения задания из учебника Дорофеев, Суворова, Бунимович 7 класс, Просвещение:
Подберите такое k, чтобы трёхчлен был равен квадрату двучлена:
а) а2 - 2а + k;
б) х2 + 6х + k;
в) m2 + km + 16;
г) у2 + ky + 25;
д) k - 6n + n2;
е) k + 8ab + b2.
