Упражнение 6.145 ГДЗ Дорофеев Суворова 7 класс (Алгебра)
Преобразуйте в многочлен: а) 2(а - 3)2; б) 3(х + у)2; в) -5(1 - 2с)2; г) -4(3m + n)2; д) 0,1(а + 5)2;

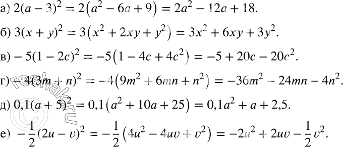
Ниже вариант решения задания из учебника Дорофеев, Суворова, Бунимович 7 класс, Просвещение:
Преобразуйте в многочлен:
а) 2(а - 3)2;
б) 3(х + у)2;
в) -5(1 - 2с)2;
г) -4(3m + n)2;
д) 0,1(а + 5)2;
е) -1/2*(2u - v)2.
