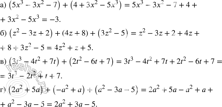
Упражнение 6.64 ГДЗ Дорофеев Суворова 7 класс (Алгебра)
Раскройте скобки и приведите подобные: а) (5x3 - 3x2 - 7) + (4 + 3x2 - 5x3); б) (z2 - 3z + 2) + (4z + 8) + (3z2 - 5);

Ниже вариант решения задания из учебника Дорофеев, Суворова, Бунимович 7 класс, Просвещение:
Раскройте скобки и приведите подобные:
а) (5x3 - 3x2 - 7) + (4 + 3x2 - 5x3);
б) (z2 - 3z + 2) + (4z + 8) + (3z2 - 5);
в) (3t3 - 4t2 + 7t) + (2t2 -6t + 7);
г) (2а2 + 5а) 4- (-а2 + а) + (а2 - 3а - 5).
