Упражнение 6.85 ГДЗ Дорофеев Суворова 7 класс (Алгебра)
Представьте в виде суммы двух каких-либо двучленов: а) х-у; б) х + у. *Цитирирование задания со ссылкой на учебник производится исключительно в учебных целях для лучшего понимания разбора решения задания.

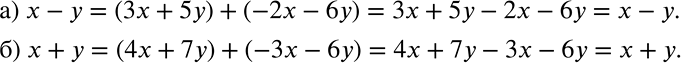
Ниже вариант решения задания из учебника Дорофеев, Суворова, Бунимович 7 класс, Просвещение:
Представьте в виде суммы двух каких-либо двучленов:
а) х-у; б) х + у.
