Упражнение 6.84 ГДЗ Дорофеев Суворова 7 класс (Алгебра)
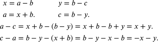
Выразите а - с и с - а через х и у, если х = а - b, у = b - с.

Ниже вариант решения задания из учебника Дорофеев, Суворова, Бунимович 7 класс, Просвещение:
Выразите а - с и с - а через х и у, если х = а - b, у = b - с.
