Упражнение 6.83 ГДЗ Дорофеев Суворова 7 класс (Алгебра)
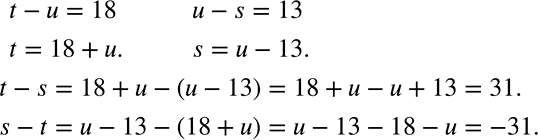
Ищем способ решения (674 — 676) 674 Известно, что t - u= 18, u-s = 13. Найдите t-s и s-t. *Цитирирование задания со ссылкой на учебник производится исключительно в учебных целях для лучшего понимания разбора решения задания.

Ниже вариант решения задания из учебника Дорофеев, Суворова, Бунимович 7 класс, Просвещение:
Ищем способ решения (674 — 676)
674 Известно, что t - u= 18, u-s = 13. Найдите t-s и s-t.
