Упражнение 6.82 ГДЗ Дорофеев Суворова 7 класс (Алгебра)
Представьте в виде суммы и разности двух каких-либо двучленов трёхчлен: а) х2 + 3х - 1; б) а2 - 5а + 2;

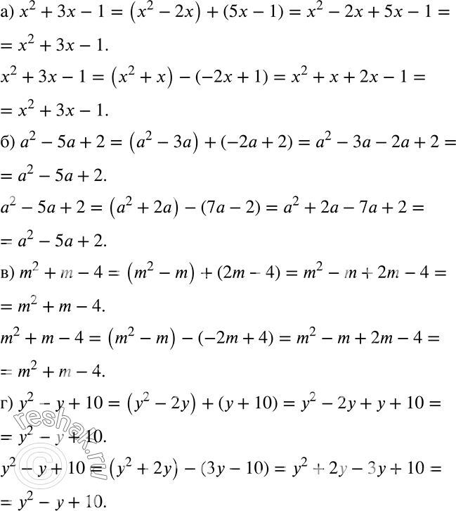
Ниже вариант решения задания из учебника Дорофеев, Суворова, Бунимович 7 класс, Просвещение:
Представьте в виде суммы и разности двух каких-либо двучленов трёхчлен:
а) х2 + 3х - 1;
б) а2 - 5а + 2;
в) m2 + m - 4;
г) у2 - у + 10.
