Упражнение 6.81 ГДЗ Дорофеев Суворова 7 класс (Алгебра)
Многочлен 2а3 - 3а2 - 4а + 5 представьте в виде разности двух двучленов всеми возможными способами. *Цитирирование задания со ссылкой на учебник производится исключительно в учебных целях для лучшего понимания разбора решения задания.

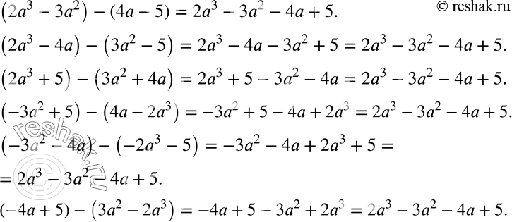
Ниже вариант решения задания из учебника Дорофеев, Суворова, Бунимович 7 класс, Просвещение:
Многочлен 2а3 - 3а2 - 4а + 5 представьте в виде разности двух двучленов всеми возможными способами.
