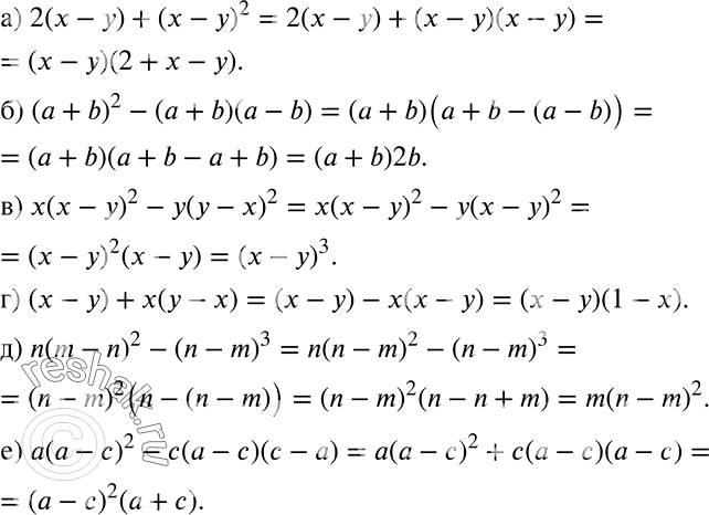
Упражнение 7.21 ГДЗ Дорофеев Суворова 7 класс (Алгебра)
а) 2(х - у) + (х - у)2; б) (а + b)2 - (а + b)(а - b); в) х(х - у)2 - у(у - х)2;

Ниже вариант решения задания из учебника Дорофеев, Суворова, Бунимович 7 класс, Просвещение:
а) 2(х - у) + (х - у)2;
б) (а + b)2 - (а + b)(а - b);
в) х(х - у)2 - у(у - х)2;
г) (х - у) + х(у - х);
д) n(m - n)2 - (n - m)3;
е) а(а - с)2 - с(а - с)(с - а).
