Упражнение 7.34 ГДЗ Дорофеев Суворова 7 класс (Алгебра)
Разложите на множители (844—845). 844 а) ax - а + bx - b + сх - с; б) ах + bx - ay - by + az + bz;

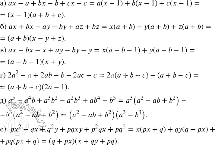
Ниже вариант решения задания из учебника Дорофеев, Суворова, Бунимович 7 класс, Просвещение:
Разложите на множители (844—845).
844 а) ax - а + bx - b + сх - с;
б) ах + bx - ay - by + az + bz;
в) ах - bx - х + ay - by - у;
г) 2а2 - а + 2ab - b - 2ас + с;
д) а5 - а4b + а2b2 - а2b3 + аb4 - b5;
е) рх2 + qx + q2y + pqxy + p2qx + pq2.
Подсказка. Можно группировать как по два, так и по три слагаемых.
