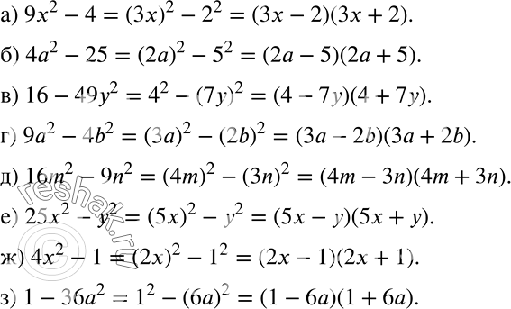
Упражнение 7.39 ГДЗ Дорофеев Суворова 7 класс (Алгебра)
а) 9x2 - 4; б) 4а2 - 25; в) 16 - 49у2; г) 9а2 - 4b2; д) 16m2 - 9n2; е) 25x2 - у2;

Ниже вариант решения задания из учебника Дорофеев, Суворова, Бунимович 7 класс, Просвещение:
а) 9x2 - 4;
б) 4а2 - 25;
в) 16 - 49у2;
г) 9а2 - 4b2;
д) 16m2 - 9n2;
е) 25x2 - у2;
ж) 4x2 - 1;
з) 1 - 36а2.
