Упражнение 7.38 ГДЗ Дорофеев Суворова 7 класс (Алгебра)
Разложите на множители (848—851). 848 а) x2 - y2; б) y2 - x2; в) а2 - 9; г) 16-b2; д) x2 - 1;

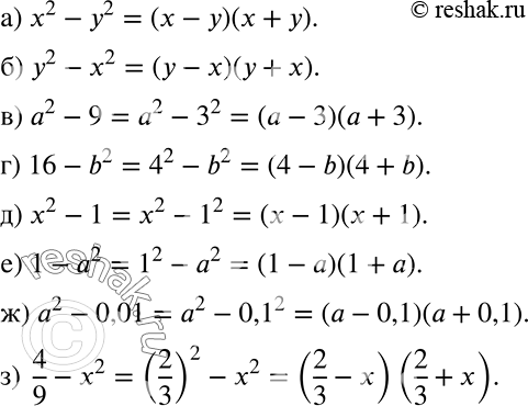
Ниже вариант решения задания из учебника Дорофеев, Суворова, Бунимович 7 класс, Просвещение:
Разложите на множители (848—851).
848 а) x2 - y2;
б) y2 - x2;
в) а2 - 9;
г) 16-b2;
д) x2 - 1;
е) 1-a2;
ж) a2 - 0,01;
з) 4/9 - x2.
