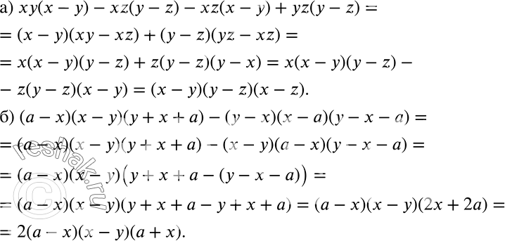
Упражнение 7.35 ГДЗ Дорофеев Суворова 7 класс (Алгебра)
а) ху(х - у) - xz(y - z) - xz(x - у) + yz(y - z); б) (a - x){x - y)(y + x + a) - (y - x)(x - a)(y - x - a).

Ниже вариант решения задания из учебника Дорофеев, Суворова, Бунимович 7 класс, Просвещение:
а) ху(х - у) - xz(y - z) - xz(x - у) + yz(y - z);
б) (a - x){x - y)(y + x + a) - (y - x)(x - a)(y - x - a).
