Упражнение 7.36 ГДЗ Дорофеев Суворова 7 класс (Алгебра)
Разложите на множители трёхчлен: а) а2 + 5аb + 4b2; б) с2 - 4сb + 3b2; в) b2 + 5b + 6;

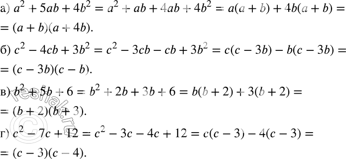
Ниже вариант решения задания из учебника Дорофеев, Суворова, Бунимович 7 класс, Просвещение:
Разложите на множители трёхчлен:
а) а2 + 5аb + 4b2;
б) с2 - 4сb + 3b2;
в) b2 + 5b + 6;
г) с2 - 7с + 12.
Образец. Разложим на множители многочлен
2х2 + 5ху + 2у2.
Чтобы применить группировку, разобьём слагаемое 5ху на два одночлена: ху и 4ху. Получим
2x2 + 5ху + 2у2 = 2х2 + ху + 4ху + 2 у2 = х(2х + у) + 2у(2х + у) = (2х + у)(х + 2у).
