Упражнение 7.86 ГДЗ Дорофеев Суворова 7 класс (Алгебра)
Разбираем способ решения Трёхчлен x2 - 6x + 8 можно разложить на множители, выделив квадрат двучлена: x2 - 6x + 8 = x2 - 6x + 8 + 1 - 1 = (x2 - 6x + 9) - 1 = (x - З)2 - 1 = (x - 3 - 1)(x - 3 + 1) = (x - 4)(x - 2).

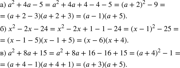
Ниже вариант решения задания из учебника Дорофеев, Суворова, Бунимович 7 класс, Просвещение:
Разбираем способ решения Трёхчлен x2 - 6x + 8 можно разложить на множители, выделив квадрат двучлена:
x2 - 6x + 8 = x2 - 6x + 8 + 1 - 1 = (x2 - 6x + 9) - 1 = (x - З)2 - 1 = (x - 3 - 1)(x - 3 + 1) = (x - 4)(x - 2). Разложите на множители трёхчлен: а) а2 + 4а - 5;
б) x2 - 2x - 24;
в) a2 + 8a + 15.
