Упражнение 7.85 ГДЗ Дорофеев Суворова 7 класс (Алгебра)
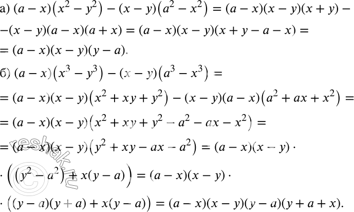
а) (а - x)(x2 - у2) - (x - у)(а2 - х2); б) (а - x)(x3 - у3) - (х - у)(а3 - x3).

Ниже вариант решения задания из учебника Дорофеев, Суворова, Бунимович 7 класс, Просвещение:
а) (а - x)(x2 - у2) - (x - у)(а2 - х2);
б) (а - x)(x3 - у3) - (х - у)(а3 - x3).
