Упражнение 7.102 ГДЗ Дорофеев Суворова 7 класс (Алгебра)
Решите уравнение относительно х: а) х2 - m2 = 0; б) а2 - х2 = 0; в) (х + 4 - а)(х + 4 + а) = 0;

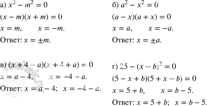
Ниже вариант решения задания из учебника Дорофеев, Суворова, Бунимович 7 класс, Просвещение:
Решите уравнение относительно х:
а) х2 - m2 = 0;
б) а2 - х2 = 0;
в) (х + 4 - а)(х + 4 + а) = 0;
г) 25 - (х - b)2 = 0.
