Упражнение 7.103 ГДЗ Дорофеев Суворова 7 класс (Алгебра)
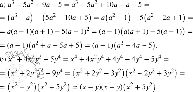
Разложите на множители многочлен (913—914). 913 а) а3 - 5а2 + 9а - 5; б) x4 + 4х2у2 - 5y4. *Цитирирование задания со ссылкой на учебник производится исключительно в учебных целях для лучшего понимания разбора решения задания.

Ниже вариант решения задания из учебника Дорофеев, Суворова, Бунимович 7 класс, Просвещение:
Разложите на множители многочлен (913—914).
913 а) а3 - 5а2 + 9а - 5;
б) x4 + 4х2у2 - 5y4.
