Упражнение 100 ГДЗ Колягин Ткачёва 7 класс (Алгебра)
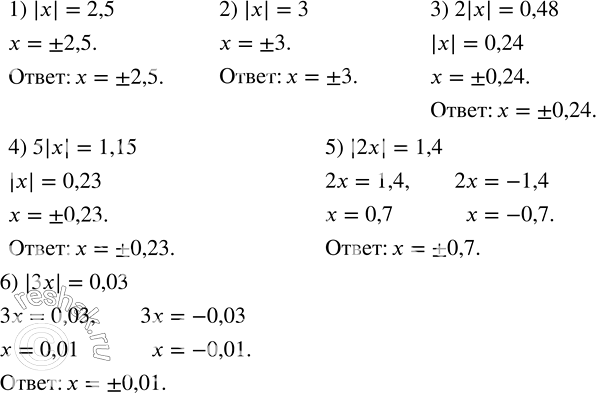
Прочитать десятичную дробь: 0,0001; 2,00034; 6,1002; 0,000208; 32,0050041; 7,06800033. Решить уравнение: 1) |x|=2,5; 2) |x|=3; 3) 2|x|=0,48; 4) 5|x|=1,15; 5) |2x|=1,4;


Ниже вариант решения задания из учебника Колягин, Ткачёва, Фёдорова 7 класс, Просвещение:
Прочитать десятичную дробь: 0,0001; 2,00034; 6,1002; 0,000208; 32,0050041; 7,06800033.
Решить уравнение:
1) |x|=2,5;
2) |x|=3;
3) 2|x|=0,48;
4) 5|x|=1,15;
5) |2x|=1,4;
6) |3x|=0,03.
