Упражнение 95 ГДЗ Колягин Ткачёва 7 класс (Алгебра)
Заполнить пустые клетки таблицы обратно пропорциональных величин. Показать, что уравнение не имеет корней: 1) 28-20x=2x+25-16x-12-6x; 2) 25x-17=4x-5-13x+14+34x; 3) (x-1)/3+(5x+2)/12=(5+3x)/4; 4) (2x+1)/3-(7x+5)/15=(x-2)/5.



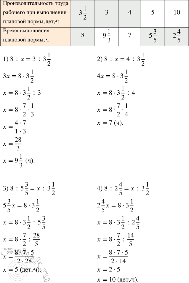
Ниже вариант решения задания из учебника Колягин, Ткачёва, Фёдорова 7 класс, Просвещение:
Заполнить пустые клетки таблицы обратно пропорциональных величин.
Показать, что уравнение не имеет корней:
1) 28-20x=2x+25-16x-12-6x;
2) 25x-17=4x-5-13x+14+34x;
3) (x-1)/3+(5x+2)/12=(5+3x)/4;
4) (2x+1)/3-(7x+5)/15=(x-2)/5.
