Упражнение 98 ГДЗ Колягин Ткачёва 7 класс (Алгебра)
Для перевоза груза нужны 82 вагона грузоподъёмностью 16 1/2 т каждый. Сколько потребовалось бы вагонов грузоподъёмностью 20 1/2 т, чтобы перевезти этот же груз?


Ниже вариант решения задания из учебника Колягин, Ткачёва, Фёдорова 7 класс, Просвещение:
Для перевоза груза нужны 82 вагона грузоподъёмностью 16 1/2 т каждый. Сколько потребовалось бы вагонов грузоподъёмностью 20 1/2 т, чтобы перевезти этот же груз?
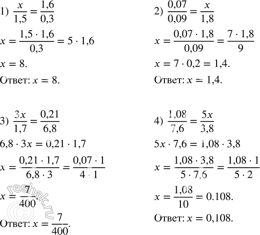
Решить уравнение, используя свойства пропорции:
1) x/1,5=1,6/0,3;
2) 0,07/0,09=x/1,8;
3) 3x/1,7=0,21/6,8;
4) 1,08/7,6=5x/3,8.
