Упражнение 97 ГДЗ Колягин Ткачёва 7 класс (Алгебра)
Восемь рабочих вымостили улицу за 21 день. Сколько потребовалось бы рабочих с такой же производительностью труда, чтобы вымостить эту же улицу за 14 дней?По тексту высказывания составить уравнение и решить его:


Ниже вариант решения задания из учебника Колягин, Ткачёва, Фёдорова 7 класс, Просвещение:
Восемь рабочих вымостили улицу за 21 день. Сколько потребовалось бы рабочих с такой же производительностью труда, чтобы вымостить эту же улицу за 14 дней?
По тексту высказывания составить уравнение и решить его:
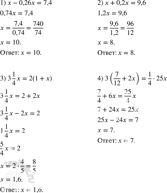
1) если число x уменьшить на 26 %, то получится число 7,4;
2) если число x увеличить на 20 %, то получится число 9,6;
3) произведение чисел 3 1/4 и x в 2 раза больше суммы чисел 1 и x;
4) сумма чисел 7/12 и 2x в 3 раза меньше одной четвертой числа 25x.
