Упражнение 13 ГДЗ Колягин Ткачёва 7 класс (Алгебра)
Найти неизвестное делимое, если: 1) делитель равен 106, неполное частное равно 57, а остаток — 77; 2) делитель равен 93, неполное частное — 204, а остаток — 86.Сколько минут:


Ниже вариант решения задания из учебника Колягин, Ткачёва, Фёдорова 7 класс, Просвещение:
Найти неизвестное делимое, если:
1) делитель равен 106, неполное частное равно 57, а остаток — 77;
2) делитель равен 93, неполное частное — 204, а остаток — 86.
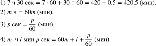
Сколько минут: 1) в 7 ч 30 с; 2) в m часах; 3) в p секундах; 4) в m часах, l минутах и p секундах?
