Упражнение 16 ГДЗ Колягин Ткачёва 7 класс (Алгебра)
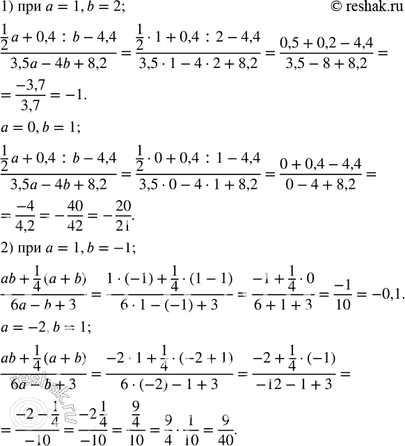
Определить, сколько: 1) квадратных сантиметров в 5 квадратных дециметрах; 2) кубических дециметров в 10 кубических метрах. Найти значение алгебраического выражения: 1) ( 1/2 a+0,4:b-4,4)/(3,5a-4b+8,2) при a=1,b=2;


Ниже вариант решения задания из учебника Колягин, Ткачёва, Фёдорова 7 класс, Просвещение:
Определить, сколько:
1) квадратных сантиметров в 5 квадратных дециметрах;
2) кубических дециметров в 10 кубических метрах.
Найти значение алгебраического выражения:
1) ( 1/2 a+0,4:b-4,4)/(3,5a-4b+8,2) при a=1,b=2; a=0,b=1;
2) (ab+1/4 (a+b))/(6a-b+3) при a=1,b=-1; a=-2,b=1.
