Упражнение 14 ГДЗ Колягин Ткачёва 7 класс (Алгебра)
Найти неизвестный делитель, если: 1) делимое равно 6359, неполное частное равно 132, остаток — 23; 2) делимое равно 14 602, неполное частное — 405, остаток — 22.Найти значение выражения:


Ниже вариант решения задания из учебника Колягин, Ткачёва, Фёдорова 7 класс, Просвещение:
Найти неизвестный делитель, если:
1) делимое равно 6359, неполное частное равно 132, остаток — 23;
2) делимое равно 14 602, неполное частное — 405, остаток — 22.
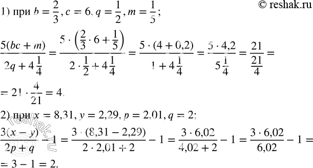
Найти значение выражения:
1) 5(bc+m)/(2q+4 1/4) при b=2/3,c=6,q=1/2,m=1/5;
2) (3(x-y))/(2p+q)-1 при x=8,31,y=2,29,p=2,01,q=2.
