Упражнение 12 ГДЗ Колягин Ткачёва 7 класс (Алгебра)
Найти неизвестное число, обозначенное буквой х: 1) 5642 + х = 7 321; 2) 27 306 - x = 23 924;



Ниже вариант решения задания из учебника Колягин, Ткачёва, Фёдорова 7 класс, Просвещение:
Найти неизвестное число, обозначенное буквой х:
1) 5642 + х = 7 321; 2) 27 306 - x = 23 924;
3) x - 58 049 = 1968; 4) х · 321 = 13 803;
5) 10 658 : х = 146; 6) х : 243 = 20 412;
7) 708 + (х - 326) = 1451; 8) 5382 - (4304 - х) = 2953;
9) 29 · x - 965 = 4951; 10) x : 52 + 849 = 1030.
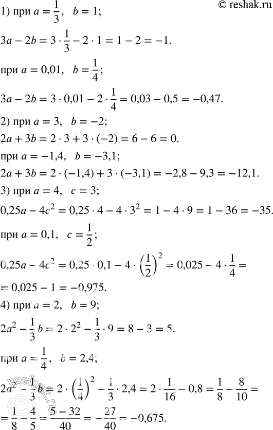
Найти значение алгебраического выражения:
1) 3a-2b при a=1/3, b=1; a=0,01, b=1/4;
2) 2a+3b при a=3, b=-2; a=-1,4, b=-3,1;
3) 0,25a-4c^2 при a=4, c=3; a=0,1, c=1/2;
4) 2a^2-1/3 b при a=2, b=9; a=1/4, b=2,4.
